学生工作处
学院首页
学工首页
部门介绍
思政教育
信息公开
党建工作
队伍建设
园区生活
资助育人
心理健康
咨询热线
办事指南
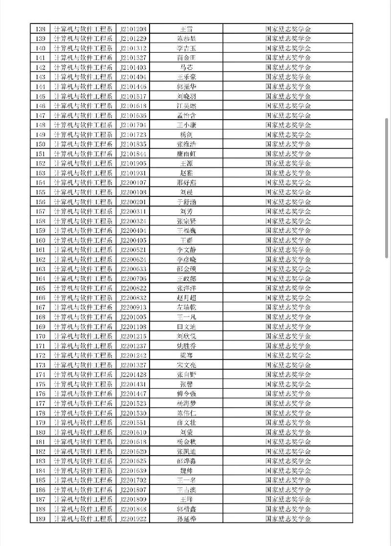
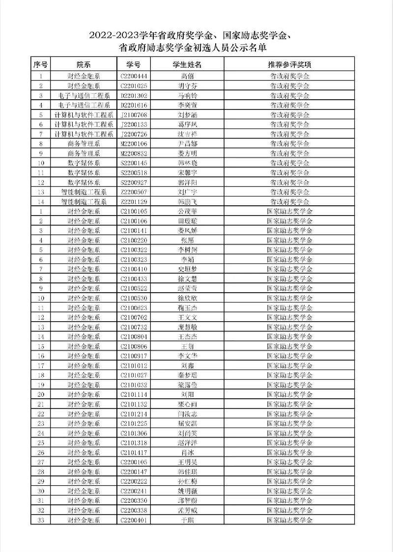
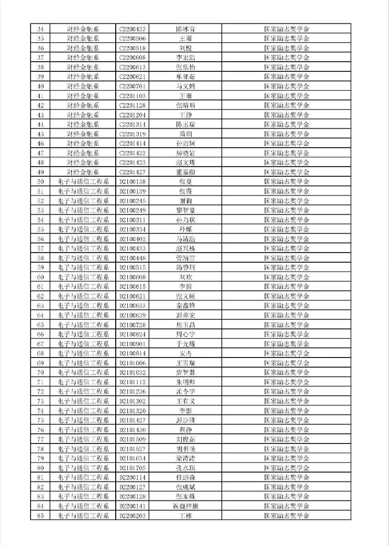
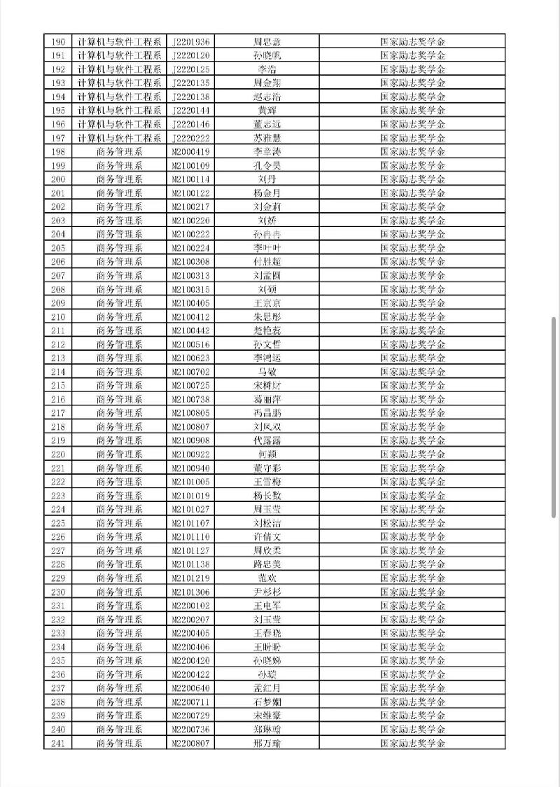
2022-2023学年省政府奖学金、国家励志奖学金、省政府励志奖学金初选人员公示名单
发布时间:2023-10-25
浏览次数:
421
地址:山东省济南市章丘大学城文化路888号
邮政编码:225009
友情链接
友情链接
中华人民共和国教育部
山东省教育厅
全国学生资助管理中心